常言道:人如其食。越来越多的研究证实肠道微生物组(即肠道菌群)无时无刻都在塑造我们的身体,进而影响免疫系统和整体健康。这就是在告诉我们:吃得健康,人就健康;反之亦然。
2021年7月12日,发表在《Cell》上的一项最新研究中,来自美国斯坦福医学院领导的研究团队通过两种饮食干预临床试验以及广泛的免疫分析发现,富含发酵食品的饮食具有增强肠道菌群多样性以及减少炎症标志物的潜力。研究提出发酵食品有望成为辅助治疗慢性病和炎症的饮食疗法。
高纤维食品的摄入没有改变菌群的多样性,但是提高了菌量,可能的原因是某些细菌在纤维供能下生长繁殖的更快。在代谢产物方面,高纤维食物能促进肠道菌群碳水化合物活性酶的表达,但没有改变具有免疫调节功能的短链脂肪酸的产生。
随着酸奶等发酵食物的摄入,肠道菌群多样性显著提高,并且与食物中发酵食品含量正相关,其中酸奶和植物发酵饮品的摄入量和菌群多样性增加的关联性更高。
发酵食物的摄入显著降低了血液中19种细胞因子和趋化因子的浓度,尤其是IL-6、IL-18、IL-12b这三类促炎性细胞因子。这些细胞因子与风湿性关节炎、Ⅱ型糖尿病等慢性病和低度炎症有关。

研究通讯作者、微生物和免疫学副教授Justin Sonnenburg博士说:"这是一个惊人的发现,它提供了第一个例子,证明简单改变饮食就可以重塑健康人的肠道菌群。”
研究之所以把重点放在高纤维和发酵饮食上,是因为广泛的研究都证实这两种饮食具有潜在的健康益处:高纤维饮食与较低的死亡率有关;而发酵食物有助于保持体重,并可能降低罹患糖尿病、癌症和心血管疾病的风险。
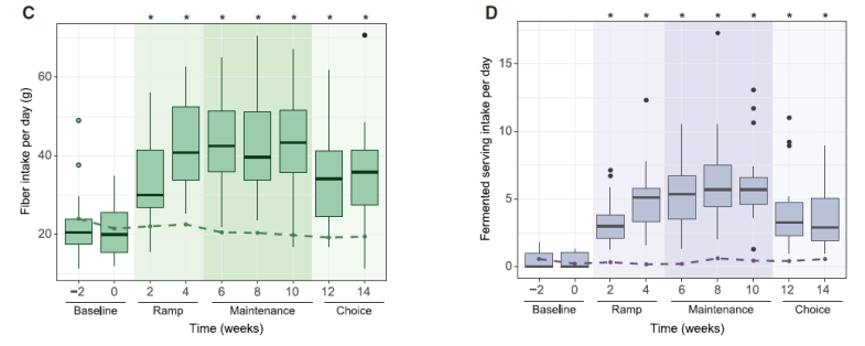
研究人员设计的饮食干预周期是10周,最终按规定饮食坚持下来的志愿者有36名,这些人都没有肠道疾病史,并且平均年龄和BMI大致相同。其中18人食用高纤维饮食,包括豆类、全麦谷物、高纤维的蔬菜水果和坚果。另外18人食用发酵食物,主要包括酸菜、泡菜、发酵蔬菜、酸奶、乳酪、康普茶(发酵茶饮)、克非尔(发酵牛奶饮品)等。研究人员在实验开始前、中、后的不同时期收集志愿者的粪便样品,通过基因测序和蛋白质组学检测肠道菌群的生物量和结构以及代谢产物的变化。并且收集和检测了血液样品中的细胞因子水平、免疫细胞的数量和功能。科学家们首先明确的是,开始实验后的2-14周,两组参与研究的人群每日饮食中的纤维食品成分或发酵食品成分的含量逐渐增高,并且高纤维组食物中发酵食品含量没有发生变化,反之亦然。
高纤维组(左图)每日食物中的纤维类食品含量(g)(box)和发酵类食品含量(虚线),发酵食品组(右图)每日食物中的发酵类食品含量(g)(box)和纤维类含量(虚线)
让我们先来看看高纤维食品对肠道菌群和免疫反应的调控。高植物纤维食物的摄入并没有改变菌群的多样性,而是提高了细菌量,可能是某些细菌在纤维的供能下生长繁殖的更快。而在代谢产物方面,高纤维食物促进了肠道菌群碳水化合物活性酶(carbohydrate-active enzymes, CAZymes)的表达,碳水化合物类在粪便中的含量也有所上升,但是纤维素代谢产物之一短链脂肪酸(SCFA),一类具有免疫调节功能的小分子的水平并没有发生变化。有可能是饮食干预的时间还不够长,不足以改变肠道菌群的构成及其产生的代谢产物。从纤维食物实验组在不同时间点测得的血液免疫细胞水平来看,在尚未开始饮食干预时个体间差异就已经比较大,饮食控制结束后并没有在人群中观察到共同的特征变化
而食用了发酵食物的人群肠道菌群的多样性显著提高,并且与食物中发酵食品含量呈正相关,其中酸奶和植物发酵饮品的摄入量和肠道菌群多样性增加的关联性更高。菌群中相对含量上升的主要是厚壁菌门(Firmicutes)中的毛螺菌科(Lachnospiraceae)、瘤胃球菌科(Ruminococcaceae)以及链球菌科(Streptococcaceae)。发酵食品并没有改变肠道微生物的生物量,而是显著影响了其结构。发酵食物的摄入还显著降低了血液中19种细胞因子和趋化因子的浓度,其中尤其值得注意的是三种促炎性细胞因子IL-6,IL-18,IL-12b,这些细胞因子与风湿性关节炎、2型糖尿病等慢性病和低度炎症相关。除此之外,发酵类食品还显著降低了血液中CD4+T细胞、CD8+T细胞、B细胞和单核细胞的内源性信号通路,但是这些细胞在接受抗原刺激时仍然能够表现出快速的信号传递和免疫反应,说明发酵类食物让这四类免疫细胞在体内的活跃度下降,但并不影响其功能。总的来说,这项研究对两种当下公认的健康饮食——高纤维类和发酵类食品的功效做了充分的组学分析,找到了食物-肠道菌群-免疫反应的一些关联,并提示我们发酵类食品有望成为辅助治疗慢性病和炎症的饮食疗法。同时我们也看到每个人的肠道菌群千差万别,接受饮食干预后的反应也不尽相同。而且饮食干预若想要达到调节肠道菌群和免疫反应的作用,必须长期坚持,还得吃够量。看到这里,你是不是打算去购入一堆酸奶了呢?有几个购奶小妙招分享给你:购买酸奶前,我们需要先看配料表中第一个成分是不是生乳。市面上还有很多酸奶由于是用水+全脂乳粉制作出来的,营养价值自然没有生乳高。其次,碳水化合物和添加剂的含量需要特别留意。下图左边是一款「健康」的发酵乳,口感较酸,消费者可能不会喜欢;右边是一款「美味」的风味酸乳,添加白砂糖、乳清粉和增稠剂,口感很甜,但碳水化合物高达14.1%,甚至比碳酸饮料还要高。其实酸奶本身就含有一定比例的乳糖,如果不是很追求口感的话,还是选择含糖量较低的酸奶比较好。通常情况下,酸奶的贮存方法大多是“2-6℃冷藏,保质期21天”,在这个时间内益生菌才能“活着”被人体吸收,所以超市的酸奶大都摆放在冷柜里。但是,一些厂商为了减少酸味、消灭细菌、延长保质期、便于携带,会对发酵后的酸奶做热处理。所以,常温保存酸奶的活性乳酸菌含量比同类冷藏酸奶要少很多,但防腐剂并不过量。所以,酸奶的保质期长≠防腐剂多,但常温保存、保质期长=益生菌数少。勤留意成分表,二低一高(碳水化合物低、脂肪低、蛋白质高),品质才好;
冷藏贮存、保质期越短的酸奶,才可能含有足够多的“好菌”。
来源:中国生物技术网、中国科学院大学